福州在校生总数1954019人,全省呢?官方最新数据发布
2025-09-26 10:15 来源:福建省教育厅官网 责任编辑:付丽宁 我来说两句 |
分享到:
|
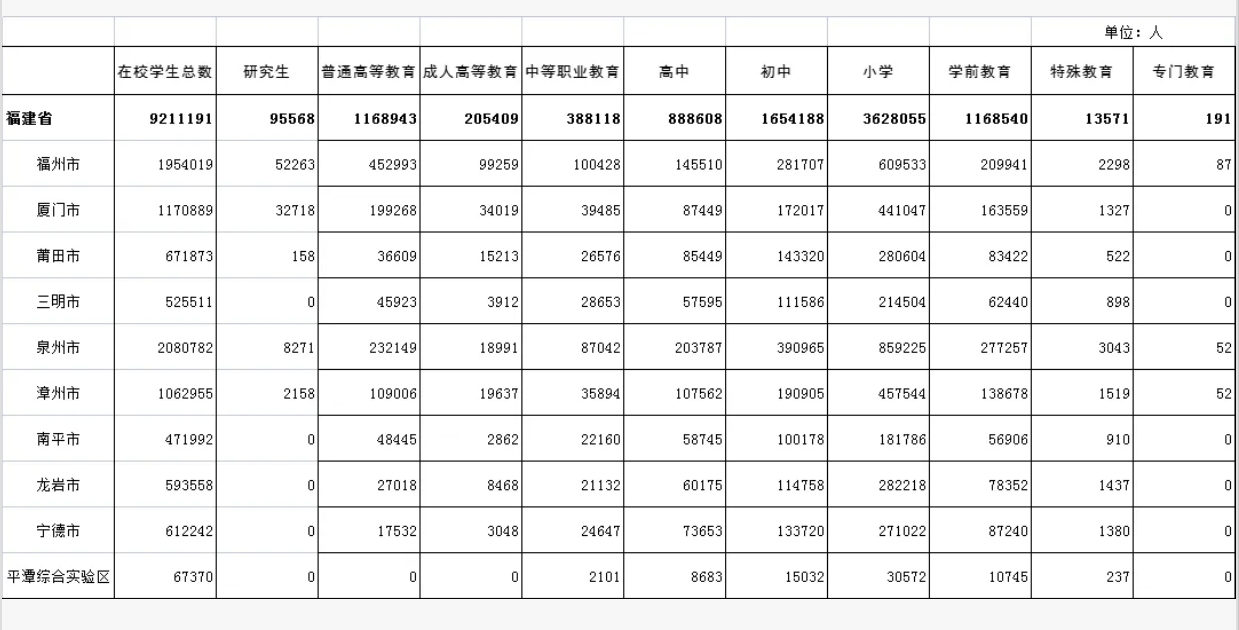
福建有多少学校、学生、教师? 日前 福建省教育厅公布了相关数据 一起来看—— 2024/2025学年初福建省各级各类学校基本情况 2024/2025学年初福建省各类学校基本情况 2024/2025学年初福建省各级各类教育在校学生数 2024/2025学年初福建省各级各类学校教职工数 2024/2025学年初福建省各级各类学校专任教师数 转发了解! |
相关阅读:
![]() |
![]() |
![]() |
![]() |
打印 | 收藏 | 发给好友 【字号 大 中 小】 |
心情版
更多>>视频现场
更多>>大学城酷图
相关评论
国新办发函[2001]232号 闽ICP备案号(闽ICP备05022042号) 互联网新闻信息服务许可证 编号:35120170001 网络文化经营许可证 闽网文〔2019〕3630-217号
信息网络传播视听节目许可(互联网视听节目服务/移动互联网视听节目服务)证号:1310572 广播电视节目制作经营许可证(闽)字第085号
网络出版服务许可证 (署)网出证(闽)字第018号 增值电信业务经营许可证 闽B2-20100029 互联网药品信息服务(闽)-经营性-2015-0001
福建日报报业集团拥有东南网采编人员所创作作品之版权,未经报业集团书面授权,不得转载、摘编或以其他方式使用和传播
职业道德监督、违法和不良信息举报电话:0591-87095403(工作日9:00-12:00、15:00-18:00) 举报邮箱:jubao@fjsen.com 福建省新闻道德委举报电话:0591-87275327
信息网络传播视听节目许可(互联网视听节目服务/移动互联网视听节目服务)证号:1310572 广播电视节目制作经营许可证(闽)字第085号
网络出版服务许可证 (署)网出证(闽)字第018号 增值电信业务经营许可证 闽B2-20100029 互联网药品信息服务(闽)-经营性-2015-0001
福建日报报业集团拥有东南网采编人员所创作作品之版权,未经报业集团书面授权,不得转载、摘编或以其他方式使用和传播
职业道德监督、违法和不良信息举报电话:0591-87095403(工作日9:00-12:00、15:00-18:00) 举报邮箱:jubao@fjsen.com 福建省新闻道德委举报电话:0591-87275327